모듈러 연산 (Modular Arithmetic)
모듈러 연산 (Modular Arithmetic)에 대해 정리한 페이지입니다.
Tags
Algorithm
1. 개요
모듈러 연산(Modular Arithmetic)에 대해 정리한 페이지입니다.
2. 모듈러 연산 (Modular Arithmetic)
2.1. 개념
모듈러 연산 또는 모듈러 산술은 수학에서 나머지를 다루는 산술 체계를 의미합니다. 정수 a를 정수 m으로 나눈 나머지를 a mod m으로 표현합니다.
2.2. 모듈러 연산의 성질
모듈러 연산의 주요 성질들은 다음과 같습니다.
2.2.1. 덧셈

2.2.2. 뺄셈

2.2.3. 곱셈

2.2.4. 거듭제곱

2.2.5. 모듈러 역원을 이용한 나눗셈
모듈러 연산에서는 (a / b) mod m을 직접 구할 수 없습니다. 대신 b의 모듈러 역원(Modular inverse)를 곱하는 방식으로 계산할 수 있습니다.

Info.
모듈러 역원(Modular inverse): 정수 a와 m에 대해 (a * x) mod m = 1을 만족하는 정수 x를 a의 모듈러 역원이라고 합니다. 예를 들어 정수 a가 3이고 m이 11일 때 (3 x 4) mod 11 = 1이므로 3의 모듈러 역원은 4입니다.
Info.
b의 곱셈 역원은 항상 존재하는 것이 아니라, b와 m이 서로소일 때만 존재합니다. 다만 출제되는 대부분의 알고리즘 문제에서는 m이 소수인 경우가 많습니다.
모듈러 역원을 구하는 방법으로는 여러 가지가 있습니다.
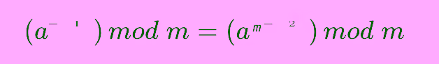
2.2.5.1. 페르마의 소정리
만약 m이 소수인 경우, 아래의 페르마의 소정리를 활용하여 모듈러 역원을 쉽게 구할 수 있습니다.

숫자 3의 모듈러 역원을 구하면 다음과 같이 4임을 확인할 수 있습니다.

2.2.5.2. 확장 유클리드 알고리즘(Extended Euclidean Algorithm)
확장 유클리드 알고리즘(Extended Euclidean Algorithm)을 활용하여 모듈러 역원을 구할 수 있습니다.
a * x + m * y= gcd(a, m)에서 gcd가 1일 때(=a와 m이 서로소)의 x 값이 a의 역원입니다.

1const extendedGCD = (a, b) => {
2 if (b === 0) {
3 return { gcd: a, x: 1, y: 0 };
4 } else {
5 const { gcd, x: x1, y: y1 } = extendedGCD(b, a % b);
6
7 const x = y1;
8 const y = x1 - Math.floor(a / b) * y1;
9
10 return { gcd, x, y };
11 }
12};
13
14const modInverse = (a, m) => {
15 const { gcd, x } = extendedGCD(a, m);
16
17 // 모듈러 역원이 존재하지 않는 경우 -1 리턴.
18 if (gcd !== 1) {
19 return -1;
20 }
21
22 // 음수인 경우 양수로 조정.
23 return ((x % m) + m) % m;
24};3. Example
-
javascript
1const path = process.platform === "linux" ? "/dev/stdin" : "input.txt"; 2const input = require("fs").readFileSync(path).toString().split("\n"); 3 4const t = Number(input[0]); // 테스트 케이스의 개수, 0 < t < 100 5let answer = ""; 6 7const extendedGCD = (a, b) => { 8 if (b === 0) { 9 return { gcd: a, x: 1, y: 0 }; 10 } else { 11 const { gcd, x: x1, y: y1 } = extendedGCD(b, a % b); 12 13 const x = y1; 14 const y = x1 - Math.floor(a / b) * y1; 15 16 return { gcd, x, y }; 17 } 18}; 19 20const modInverse = (a, m) => { 21 const { gcd, x } = extendedGCD(a, m); 22 23 if (gcd !== 1) { 24 return "IMPOSSIBLE\n"; 25 } 26 27 let result = ((x % m) + m) % m; 28 29 while (a * result <= m) { 30 result += m; 31 } 32 33 return `${result > 1_000_000_000 ? "IMPOSSIBLE" : result}\n`; 34}; 35 36for (let i = 1; i <= t; i++) { 37 // K: 참가자 수 38 // C: 한 봉지에 들어있는 사탕의 개수 39 // 1 <= K, C <= 1_000_000_000 40 const [K, C] = input[i].split(" ").map(Number); 41 42 // (C * x) mod K = 1 43 answer += modInverse(C, K); 44} 45 46console.log(answer.trim()); -
javascript
1const path = process.platform === "linux" ? "/dev/stdin" : "input.txt"; 2const input = require("fs").readFileSync(path).toString(); 3 4// 2 <= N <= 10^12 5// 1 <= A < N 6const [N, A] = input.split(" ").map(Number); 7 8const extendedGCD = (a, b) => { 9 if (b === 0) { 10 return { gcd: a, x: 1, y: 0 }; 11 } else { 12 const { gcd, x: x1, y: y1 } = extendedGCD(b, a % b); 13 14 const x = y1; 15 const y = x1 - Math.floor(a / b) * y1; 16 17 return { gcd, x, y }; 18 } 19}; 20 21const modInverse = (a, m) => { 22 const { gcd, x } = extendedGCD(a, m); 23 24 // 모듈러 역원이 존재하지 않는 경우 -1 리턴. 25 if (gcd !== 1) { 26 return -1; 27 } 28 29 // 음수인 경우 양수로 조정. 30 return ((x % m) + m) % m; 31}; 32 33console.log(N - A, extendedGCD(A, N).gcd === 1 ? modInverse(A, N) : -1);
